2020 官網升級中!現在您訪問官網的瀏覽器設備分辨率寬度低于1280px請使用高分辨率寬度訪問。
浪涌電流是什么?? 如何抑制浪涌電流
一、什么是浪涌電流?
浪涌電流是電路打開吸收的最大電流,出現在輸入波形的幾個周期內。浪涌電流的值遠高于電路的穩態電流,高電流可能會損壞設備或觸發斷路器。浪涌電流通常出現在所有磁芯的設備中,如變壓器、工業電壓等。
二、為什么會出現浪涌電流?
產生浪涌電流的因素有很多,比如一些去耦電容或平滑電容組成的設備或系統,在啟動時會消耗大量電流對其進行充電。
下面的圖可以看到浪涌電流、峰值電流和穩態電流之間的差異:

浪涌電流、峰值電流和穩態電流之間的差異
峰值電流:波形在正區域或負區域獲得的電流最大值。穩態電流:定義為電路中每個時間間隔保持恒定的電流。當 di/dt = 0 時,達到穩態電流,這意味著電流相對于時間保持不變。
浪涌電流特性:
發生浪涌電流的一些示例:
三、電源轉換器中的浪涌電壓
為了降低輸入/輸出的紋波噪聲或EMI噪聲,現在通常是在輸入側并聯電容或者濾波器,如下所示。由于濾波器中有電容,當系統開始上電時,由于輸入電壓的快速上升,會產生很高的浪涌電流。這種情況可能會導致前端電源供電不足,或者觸發過流保護,導致無電壓輸出,因此,浪涌電流的抑制變得越來越重要。

a圖并聯電容,b圖并聯了濾波器
四、抑制浪涌電壓的方法
1、被動抑制
如下所示,主要用于應用電路需要外接大量電容時。如果沒有外部限流電路,直流母線電壓開啟時會產生很大的浪涌電壓,可能導致前端電源壓降進入保護模式。此時,只需在電容輸入串聯電阻和二極管即可,可以減輕浪涌電流。當直流母線通過電阻給電容充電時,可以限制浪涌電流,但是,當直流母線需要供電時,電容可以通過二極管將電能反饋給直流母線。

2、主動抑制
另一種是采用帶軟啟動電路的有源開關來限制浪涌電流。如下所示,MOS管通過軟啟動電路緩慢開啟,因此,可以限制啟動期間的浪涌電流,優點是不影響系統效率,不受緩解溫度影響。缺點是需要外接電路,整體成本較高。

采用帶軟啟動電路的有源開關來限制浪涌電流
五、使用MOS管浪涌電流限制電路
如上所述,已經列舉了2種浪涌電流方法。下面介紹使用MOS管導通電路來抑制輸入電流此外,由于MOS管的導通損耗低,使用方便。優點是零件少,缺點是有功率損耗。下面介紹有源和無源浪涌電流限制電路。
1、有源浪涌電流限制電路(P-MOS管)
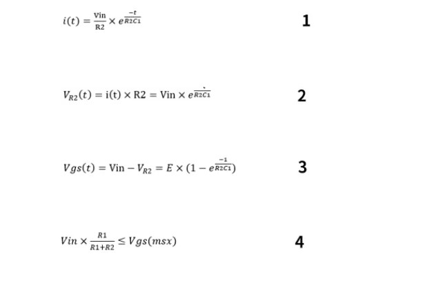
下圖為使用P溝道MOS管的浪涌電流限制電路。P溝道的導通步長與N溝道基本相同,只是電壓相反。在初始階段,C1上的電壓為0V。輸入電壓通過R2充電到C1。最后C1上的電壓通過分壓R1和R2之間的電壓來確定。Q1 開啟狀態由 Vgs 電壓決定。

有源浪涌電流限制電路(P-MOS管)
從MOS管特性描述來看,歐姆模式最適合抑制浪涌電流。至于R1、R2、C1的計算,可以用下面的公式:

在相同的R1下,C1越大,MOS管工作在歐姆模式的時間越長,這意味著限制浪涌電流的效果會更好。
2、無源浪涌電流限制器電路
一般的無源方式是在輸入端串聯一個熱敏電阻,但由于熱敏電阻受環境溫度影響較大,當環境溫度較高或輸入電源多次快速開閉,將起不到保護作用。下圖給出了可以改善這種現象的電路,使用二極管和電阻并聯,與電容并聯。不僅可以抑制浪涌電流,而且不容易受溫度變化或者輸入電源快速打開和關閉多次的影響。工作原理是當有輸入電壓時,輸入電壓通過給R1和Cl充電,當系統負載需要電源時,Cl通過二極管向負載放電。

無源浪涌電流限制器電路
從圖中可以看出R1與浪涌電流成反比,因此可以通過以下公式計算R1:

R1 損失

阻力損失可以通過公式(6)得到。
六、結論
為了加強DC/DC轉換器的抗噪聲能力,常用的方法是在輸入端加電容。但由于電容的特性,會在電源輸入端產生浪涌電流。如果不抑制浪涌電流,輸入電源可能因保護電路而無輸出,并可能損壞輸入電路或保險絲。上面介紹兩種抑制浪涌電流的方法,一種是利用MOSFET的導通特性來抑制浪涌電流。另一種是使用無源元件,通過電阻給電容充電,然后通過二極管放電回系統。有源抑制電路的效果優于無源抑制電路,但元件數量多于無源抑制電路。無源抑制電路的元器件使用最少,但必須考慮電阻的損耗和功率選擇。

免責聲明:本文轉自網絡,版權歸原作者所有,如涉及作品版權問題,請及時與我們聯系,謝謝!